Breuken Oefenen Groep 7 Werkbladen SGR rekenen met breuken 31 Vermenigvuldigen met gemengde

Met deze breuken rekenmachine kun je breuken optellen, aftrekken, vermenigvuldigen en delen. De calculator werkt als volgt:. Om het product van samengestelde breuken op deze manier uit te kunnen rekenen, moet je ze eerst als gewone breuken schrijven. Voorbeeld: 3 1/4 × 2 1/2 3 1/4 × 2 1/2 = 13/4 × 5/2 =
SGR rekenen met breuken 18 Gemengde breuken met gelijke noemers optellen YouTube

Bij wiskunde en rekenen moet je vaak breuken bij elkaar op kunnen tellen of met elkaar vermenigvuldigen. Hoe doe je dit precies? Mr. Chadd legt het je uit! Optellen en aftrekken. Om breuken bij elkaar op te kunnen tellen of van elkaar af te kunnen trekken, moet je ze eerst gelijknamig maken. Dat betekent dat ze hetzelfde getal in de noemer (dus.
Werkbladen Breuken Delen
Welnu, zoals je hierboven kan zien, hebben we geen rekening gehouden met de voorrangsregels. Volgens de voorrangsregels zullen we eerst moeten vermenigvuldigen en delen voordat we kunnen optellen en aftrekken. Omdat breuken eigenlijk delingen zijn, overtreed je dus de voorrangsregels door ze eerst op te tellen.
rekenen met procenten, breuken en decimale getallen YouTube

The Metropolitan Water District of Southern California is a regional wholesaler that delivers water to 26 member public agencies - 14 cities, 11 municipal water districts, one county water authority - which in turn provides water to 19 million people in Los Angeles, Orange, Riverside, San Bernardino, San Diego and Ventura counties.
SGR rekenen met breuken 21b Breuken met teller 1 en ongelijke noemers optellen YouTube

Home » havo A » Rekenen met breuken. Video 1: Breuken optellen (complete video) Video 2: Breuken optellen (uitleg) Video 3: Breuken optellen (voorbeeld) Video 4: Breuken vermenigvuldigen (complete video) Video 5: Breuken vermenigvuldigen (uitleg) Video 6: Breuken vermenigvuldigen (voorbeeld) Video 7: Breuken samennemen, vereenvoudigen en.
G6 Rekenen met breuken (6 Macht van een breuk berekenen) YouTube

De breukenrekenmachine met stapsgewijze uitleg. Breukencalculator is de rekenmachine speciaal voor breuken. De breukencalculator laat je stap voor stap zien hoe je breuken optelt, aftrekt, vermenigvuldigt, deelt en vereenvoudigt. Bij iedere berekening tonen we de stappen die doorlopen moeten worden om tot de juiste uitkomst te komen.
aftrekken ongelijknamige breuken, groep 6 Breuken, Aftrekken, Breuken optellen

Het kan zijn dat je rekenmachine geen rekenmodus heeft. Sommige rekenmachines hebben een breukenknop, zelfs zonder rekenmodus. 2. Druk op de breukenknop om je breuk in te voeren. Zoek naar een knop met een zwart vak boven een wit vak, een x/y, of b/c. Druk op deze knop om de breuk-functie op je rekenmachine te openen.
Hoe Reken Je Met Breuken Een StapVoorStap Gids

Het rekenen met breuken is een van de meest nuttige rekenvaardigheden om te ontwikkelen. Voordat je ermee begint, moet je leren hoe je de verschillende onderdelen en soorten breuken kunt herkennen. Daarna kun je verdergaan met het optellen en aftrekken van breuken. Wat lastiger vind je misschien het vermenigvuldigen en delen ervan.
SGR rekenen met breuken 32 Delen met gewone breuken YouTube

Je kunt dat doen door ze met elkaar te vermenigvuldigen. Als je de noemer met iets vermenigvuldigt, moet je de teller met datzelfde vermenigvuldigen zodat de verhouding gelijk blijft. Je vermenigvuldigt de hele breuk als het ware met 1, namelijk met D/D = 1. Let op: Een getal kan altijd geschreven worden als een breuk met 1 als noemer.
Reken Weetjes O B S De Westwijzer Met Afbeeldingen Breuken My XXX Hot Girl

Bekijk dan zeker ons artikel 'Hoe studeer je wiskunde?'. Breuken met dezelfde noemer optellen en aftrekken Optellen. Er is één uitzondering waarbij we wél de tellers optellen, zonder regels te overtreden. Breuken met dezelfde noemer (gelijknamige breuken) zijn optelbaar met elkaar door de tellers op te tellen en de noemer te behouden.
SGR rekenen met breuken 5a Een breuk vereenvoudigen YouTube

Breuken aftrekken met helen: gemengde breuken. Soms heb je ook te maken met gemengde breuken in een rekensom. Dat betekent dat minimaal 1 van de getallen niet alleen uit een breuk bestaat, maar ook een heel getal in zich heeft. Hoe je dan te werk gaat, laten we je nu zien. We gebruiken daarvoor een voorbeeldsom: 2 3/4 - 1/4 =
Rekenblad Schrijf de breuk als een heel getal en een vereenvoudigde breuk [2] Breuken

Onherleidbare breuken: dit zijn breuken die niet verder kunnen worden vereenvoudigd, omdat de teller en de noemer geen gemeenschappelijke factoren hebben en daarom door geen enkel getal kunnen worden gedeeld. Enkele voorbeelden van dit type zijn onder andere: 9/5, 5/6, 7/8. Om te weten hoe je ze kunt detecteren, is het belangrijk om te weten.
hoe vermenigvuldig je breuken DrBeckmann

Oefenen met behulp van pizzaplaatjes is een leuke manier om te leren rekenen met breuken. Download Breuken oefenen met pizza's. 4 - Optellen met breuken. Je kind leert dat er naast sommen met breuken ook sommen zijn met gemengde breuken. Bij gemengde breuken staan ook helen. Zoals: 1 1/3 + 4 1/3 =….
Breuken vermenigvuldigen YouTube

Omdat het om breuken gaat is dit iets ingewikkelder, maar er bestaan verschillende vuistregels die je helpen om met breuken te rekenen. Welke vuistregels je moet kennen om te kunnen rekenen met breuken leer je hier. Methode. Een breuk ziet er als volgt uit: $$\mbox{breuk}=\frac{\mbox{teller}}{\mbox{noemer}}$$ Optellen en aftrekken. Als je 2.
Hoe Bereken Je Breuken Porn Sex Picture

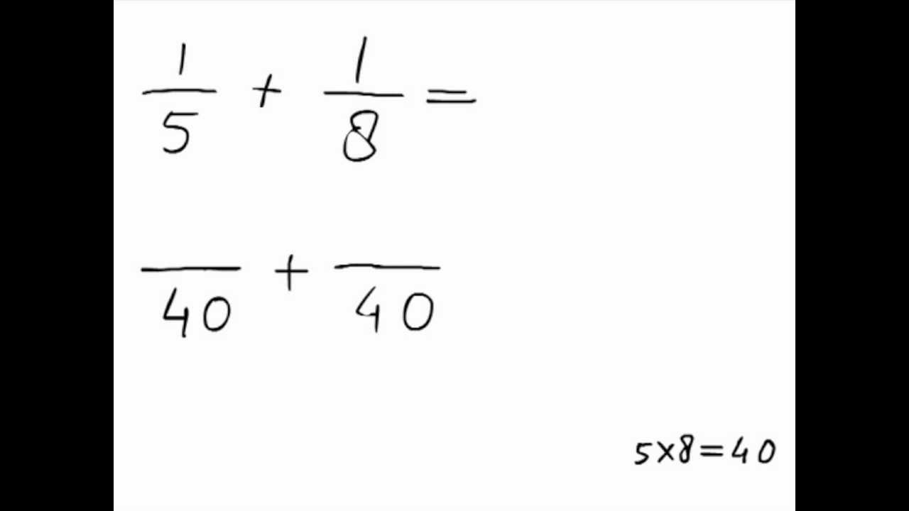
1x3=3 4x3=12 en 1x4=4 3x4=12. Dan krijg je 3 12 en 4 12 . Bekijk de gelijknamig maken pagina voor meer uitleg en oefeningen over gelijknamig maken. Stap 2. Het optellen van de tellers en de hele getallen. Nu de breuken gelijknamig zijn gemaakt moeten alleen de tellers nog maar opgeteld te worden. 1 4 + 1 3 = 3 12 + 4 12 = 7 12.
Van decimale getallen naar breuken op de rekenmachine YouTube

Hoe kan je breuken optellen, aftrekken, vermenigvuldigen, delen of vereenvoudigen? We leggen het je stap voor stap uit in deze video.Volg ons ook op deze kan.
.